Methane pyrolysis: An alternative for producing low-emission hydrogen feedstock?

August 19, 2025

Introduction

Last fall, I had the chance to work with a pre-seed methane pyrolysis company called HidrogeniCs through Berkeley’s Cleantech to Market (C2M) program. The course was a tremendous opportunity to not only explore the hydrogen and high-grade carbon spaces, but also to take a deep look under the hood at a single climate tech company’s technology, then assess a range of market opportunities and commercial pathways that would be most feasible; in other words, develop a tailored go-to-market (GTM) strategy for HidrogeniCs. This blog entry is not focused on HidrogeniCs specifically, but is instead a general description and overall evaluation (including the pros and cons) of methane pyrolysis as an alternative to water electrolysis, the prevailing technique for synthesizing low-emission hydrogen.  

An ammonia plant in Donaldsonville, Louisiana. Ammonia is one of the primary end-uses for hydrogen production today.1

Background

Most folks in the climate technology space are well aware of the potential of hydrogen fuel. When combusted with oxygen, hydrogen releases about 286,000 joules of energy per mole2 of H2 and produces only water as a byproduct:

2H2 + O2 --> 2H2O (+ energy)

Hydrogen has the ability to power a range of industries that are “hard-to-abate” (i.e., difficult to decarbonize), because they can’t be powered easily via electricity and instead require a dense feedstock that stores significant potential energy within its chemical bonds (think industrial chemical production, steelmaking, fueling heavy-duty equipment, etc.). Hydrogen is widely used today, particularly in oil refining and ammonia production for fertilizer, and the vast majority is produced via steam-methane reforming (abbreviated as SMR and also commonly referred to as “gray hydrogen”), where methane is combusted alongside water vapor to produce H2 in a two-step reaction:

CH4 + H2O --> CO + 3H2

CO + H2O --> CO2 + H2

95% of hydrogen in the US and 76% internationally3 is produced via SMR (with most of the remainder produced via goal gasification, an even more carbon-intensive form of production ominously dubbed “black” or “brown” hydrogen). SMR is the lowest-cost method for hydrogen production available, but the problem, of course, is that it produces CO2 as a byproduct. SMR can theoretically be paired with some sort of point-source carbon capture to limit emissions (a concept known as “blue hydrogen”), but this is challenging and impractical in most cases, due to the high costs of these carbon capture systems, difficulty retrofitting existing plants, and the same challenges associated with sequestering the captured carbon that routinely plague the carbon dioxide removal industry. 

There are some examples of blue hydrogen projects popping up around the world, but these are too expensive and logistically challenging to be the path forward. Instead, “green hydrogen” has emerged as the leading low-carbon alternative to SMR, whereby water molecules are split into hydrogen and oxygen via electricity, through a process known as electrolysis:

2H2O --> 4H2 + O2

Unlike SMR, electrolysis does not produce CO2 directly as a byproduct, and if powered via renewable energy, the cradle-to-grave carbon emissions (i.e., accounting for the embodied emissions associated with renewable energy, like manufacturing and transporting solar panels) of hydrogen produced this way are tiny. But green hydrogen production presents a number of challenges of its own, namely the high cost of electrolyzer equipment and the substantial amount of energy required to power the reaction (estimated to be roughly 50-60 kWh / kg H2 depending on the electrolyzer chemistry used4,5). Also, green hydrogen projects require significant economies of scale to pencil out, making them potentially viable for a large ammonia plant (which might require many tons of H2 feedstock per day), but not for, say, a network of hydrogen fueling stations for trucks traveling along I-10 in Southern California (where only 1-2 tons of fuel per day is needed at each station).

Enter an alternative: methane pyrolysis. The word “pyrolysis” derives from the Greek “pyro-” (meaning “fire” or heat”) and “-lysis” (meaning “to split”). Methane pyrolysis is the process by which a molecule of methane is heated (or, in chemical engineering vernacular, “cracked”) in a no-oxygen environment to produce gaseous hydrogen and solid carbon:

CH4 --> 2H2 + C

Like green hydrogen, this process has zero direct carbon emissions, though because it relies on a fossil feedstock (namely natural gas, which is comprised mostly of methane), it is often referred to as “turquoise hydrogen”, lying somewhere between green and blue hydrogen in terms of aggregate climate impact. Methane pyrolysis requires significantly less energy than electrolysis to produce the same amount of hydrogen (only 7-12 kWh / kg H25,6). Moreover, the solid carbon produced as a byproduct (or, more optimistically, a co-product) by the pyrolysis reaction can be used in a variety of applications. Depending on the allotrope produced (e.g., low-grade/amorphous carbon, carbon black, graphite, carbon nanotubes), this carbon co-product can be used in EV batteries, rubbers and pigments, electronics, industrial lubricants, asphalt and construction materials; the list goes on.

An illustrative representation of methane “cracking” into solid carbon and gaseous hydrogen.

A whole range of companies have been founded across the past few years with the goal of commercializing methane pyrolysis. The clear leader in the space is Monolith, which opened an 14,000-ton plant in Nebraska in 20207, followed closely by HazerGroup out of Australia and Modern Hydrogen. Other companies finding their footing in the space include Graphitic Energy (fka C-Zero) and Molten (both with backing from Breakthrough Energy), Ekona, Aurora Hydrogen, H-Quest, RotoBoost, Susteon, Transform Materials, and of course, HidrogeniCs. Each of these companies uses a slightly different form of technology to power their methane pyrolysis reaction. For example, Graphitic Energy uses thermal techniques to crack the methane and a solid catalyst on which the carbon particles deposit, whereas Aurora Hydrogen uses microwave heating without a catalyst. H-Quest and Monolith both use a plasma-based approach for heating. There are countless techniques for cracking methane into its constituent elements, but a detailed technology assessment is out-of-scope for this blog entry. 

An early schematic of Graphitic Energy’s pyrolysis reactor design.8

The promise of methane pyrolysis

As stated above, methane pyrolysis is so promising because it produces hydrogen fuel without any direct CO2 emissions, unlike SMR, and is thus significantly greener than the world’s prevailing method for hydrogen production. Taking the facts that one kg of H2 produced via SMR emits roughly 10 kg of CO29, and that worldwide annual demand for hydrogen was 97 million tons in 202310, we can calculate the total emissions of the global hydrogen industry:

If we could switch over all SMR processes to methane pyrolysis powered by renewable energy (with near-zero carbon emissions), we could eliminate over 2% of the planet’s annual carbon emissions (about 38 GT of CO2 / year11). And so, the potential for decarbonization via methane pyrolysis is enormous.

Additionally, when compared to green hydrogen produced via electrolysis, methane pyrolysis uses 75-90% less energy (50-60 kWh / kg H2 vs. just 7-12 kWh / kg H2). In a sense, methane pyrolysis is the best of both worlds: a way to produce clean, carbon-free hydrogen fuel in a much more energy-efficient manner than splitting water molecules with electricity.  

Methane pyrolysis relies on natural gas, which is in abundance in the United States and elsewhere around the world. Experts believe we won’t run out of known natural gas reserves for many decades, so the runway for methane pyrolysis is a long one. Companies who want to avoid pulling natural gas out of the ground could even use renewable natural gas (RNG) as the methane pyrolysis feedstock. The RNG could come from anaerobic digesters of biomass (which turn cover crops, manure, and food waste into natural gas), landfills, or wastewater treatment plants.

Also, as discussed above, the solid carbon co-product can partially (or even fully, depending on the allotrope) offset the cost of the hydrogen production and be tied to other climate tech-adjacent industries like batteries and advanced electronics. It’s not hard to envision a diversified climate tech company whose business model revolves around monetizing both the hydrogen and carbon materials produced by the very same reaction.

Challenges

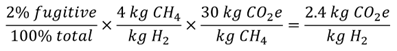
Ultimately, methane pyrolysis relies on a fossil feedstock, so it will never be as inherently clean as electrolysis. Even if the reaction can be powered via renewables, the cradle-to-grave carbon footprint analysis must consider the fugitive emissions of methane (i.e., tiny leaks in natural gas pipelines and compressors). Experts estimate that 1-3% of methane used in natural gas combustion escapes into the atmosphere via fugitive emissions12, and a single methane molecule has up to 30X the global warming potential of a CO2 molecule (depending on a few assumptions). Thus, to produce a single kg of hydrogen, we can expect about 2.4 kg of CO2e emissions:

(The factor of 4 comes from the fact that methane has a molecular mass of ~16, containing 4 hydrogen atoms, each with a molecular mass of ~1). On the other hand, if we consider water electrolysis powered by renewable energy (with a cradle-to-grave carbon intensity of just 10 g CO2 / kWh13):

And so, unless we can fix the fugitive emissions problem (and there are companies working on this, like Bridger Photonics and LongPath), methane pyrolysis will be inherently less green than water electrolysis.

Another major challenge for methane pyrolysis companies is optimizing the tradeoff between hydrogen and carbon production. In practice, there’s a strict tradeoff between the quantity of hydrogen and the quality of carbon that is produced. A reactor that runs quickly, cycling as much methane through the process per unit time as possible, will produce a significant quantity of hydrogen, but will leave behind low-grade, amorphous carbon that looks something like pet coke. You could try to sell that carbon as construction sand or concrete aggregate; in fact, Modern Hydrogen has been successful converting their carbon into asphalt products. But in the best case, you’ll face extremely low margins for basically commoditized materials, and in the worst case, you may even need to pay someone to landfill or otherwise sequester that carbon.

Monolith’s industrial-scale methane pyrolysis plant in Hallam, Nebraska, which produces carbon black (mostly used in rubber for car tires) as its carbon co-product.14

On the other hand, if the reaction is run across longer timescales, you can form much higher-grade carbon materials like graphite, or even graphene/carbon nanotubes, but you won’t make nearly enough hydrogen to support your project this way. Thus, you’ll essentially become a carbon materials company like Maple Materials, and the profits from hydrogen production will be just a rounding error compared to what you’d earn on your graphite or carbon nanotubes. Moreover, most of the end consumers of these carbon materials (e.g., battery companies, semiconductor equipment manufacturers, electronics producers) have extremely rigorous qualification processes. In graphite for the battery space, for instance, the qualification process includes multiple rounds of testing for purity, surface area, and durability; you also need to demonstrate to your customer that you can produce large volumes of your graphite with extreme consistency. Some experts we spoke with in our C2M project estimated that it could take 5+ years for a battery materials start-up to qualify its graphite for the supply chain at a company like Tesla, LG, or Panasonic, assuming they’re able to reach that the finish line at all.

And so, a successful methane pyrolysis company will need to strike the right balance between hydrogen and carbon production in order for its business model to succeed. Even then, the chemical engineering may be challenging. In practice, natural gas conversion rates for pyrolysis reactors are quite low (i.e., only a fraction of methane fed into a reactor actually cracks) and when producing high-quality graphite, yield rates may be low as well (i.e., much of the graphite may need to be discarded because it doesn’t meet the specifications required for, say, end use in an EV battery). There are even more fundamental engineering challenges, like physically removing the solid carbon from the catalyst on which it forms without damaging it, and low-quality carbon depositing on the inside of the reactor, gumming up the process and potentially causing mechanical damage (known as “fouling”). Realistically, there’s a long learning curve ahead for designing efficient methane pyrolysis reactors and operating them effectively.

Graphite is a critical component in lithium-ion batteries for EVs and other electronic devices.15

The path forward

As it stands, methane pyrolysis does not explicitly qualify for the 45V tax credit outlined in the IRA, designed to spur investment in the clean hydrogen industry; in any case, the One Big Beautiful Bill Act has now accelerated the phaseout of 45V by 5 years, to the end of 202716, and due to stricter-than-expected requirements around additionality and temporal matching, not a single project, to my knowledge, has been able to claim the credit since the rules were finalized by the Treasury Department in early 2025. And so, the methane pyrolysis industry must be able to compete on quality and price without the support of government subsidies in the long-term.

As discussed above, a successful pyrolysis company will require a thoughtful commercialization strategy. One pathway could involve initially focusing on small-scale hydrogen production for uses like fuel cell buses, ports and heavy-duty equipment, and backup power generation, which are less price-sensitive than commodity chemicals industries. This would allow the company to optimize its hydrogen production and move its technology down the learning curve, while working to qualify its carbon materials for battery and electronics supply chains in the background. Once the technology has been optimized for performance and cost, the company could shift to larger-scale hydrogen projects for ammonia and other chemicals companies, where low-cost production is imperative, while separately being a supplier of high-grade carbon materials.  

At the end of the day, the long-term future of methane pyrolysis is uncertain. Like most innovations in the climate tech space, pyrolysis has its skeptics and its promoters. I, for one, believe the technology has promise, and that innovation in the space should continue. Ultimately, we don’t know what the most effective, least-cost solutions for tackling climate change will be in the long-term. The costs of photovoltaic cells and energy storage systems have fallen drastically across the past two decades, to the surprise of pretty much everyone following those industries. On the other hand, the promise of low-cost nuclear technology like fusion reactors and small modular fission reactors (SMRs) hasn’t materialized, even after years of excitement and billions of dollars in funding. But the fact that we won’t know what works until we try everything is why climate tech is such an exciting space. In the world of carbon dioxide removal, some companies are trying to pull CO2 directly out of the air; some are de-acidifying the ocean to boost its carbon absorption potential; and some are crushing up rocks and spreading them out in fields to accelerate the carbon cycle. In the battery space, a whole range of chemistries are being tested to try to improve power, duration, and durability. And there are dozens of ways to make sustainable aviation fuel, including via fats from vegetable oils and animal waste (HEFA), ethanol from fermented corn, municipal waste (via gasification), and with captured CO2 (power-to-liquid).

There are so many sources of carbon emissions around the world and so many potential ways to tackle them, but we won’t know what works best until we, as an industry, have given every promising solution our best commercialization effort. We need to try everything, and that includes methane pyrolysis for hydrogen and carbon production.

Sources

1CF Industries: https://www.cfindustries.com/what-we-do/ammonia-production

2University of Texas at Dallas: https://personal.utdallas.edu/~metin/Merit/MyNotes/energyScience2.pdf

3Congress.gov: https://www.congress.gov/crs-product/R48196

4Franco, A. and Giovannini, C. (2023): https://www.mdpi.com/2071-1050/15/24/16917  

5Energy Capital Ventures: https://www.energycapitalventures.com/post/methane-pyrolysis-a-low-carbon-hydrogen-production-pathway

6ARPA-E: https://www.energy.gov/sites/default/files/2021-09/h2-shot-summit-panel2-methane-pyrolysis.pdf

7Monolith: https://monolith-corp.com/news/monolith-to-build-anhydrous-ammonia-plant-near-hallam-to-use-hydrogen

8Chemical Engineering Online: https://www.chemengonline.com/methane-pyrolysis-process-leverages-natural-gas-for-co2-free-h2-generation/

9Hydrogen Newsletter: https://www.hydrogennewsletter.com/how-much-co2-is-produced-from-steam-methane-reforming/

10International Energy Agency (IEA): https://www.iea.org/energy-system/low-emission-fuels/hydrogen

11Our World in Data: https://ourworldindata.org/co2-emissions

12Stanford University: https://news.stanford.edu/stories/2024/03/methane-emissions-major-u-s-oil-gas-operations-higher-government-predictions  

13Pehl et al. (2017): https://www.carbonbrief.org/solar-wind-nuclear-amazingly-low-carbon-footprints/

14Monolith: https://monolith-corp.com/news/monolith-raises-more-than-300-million-in-latest-funding-round-led-by-tpg-rise-climate-decarbonization-partners

15Tech Xplore: https://techxplore.com/news/2024-04-power-quality-purified-graphite-lithium.html  

16The National Interest: https://nationalinterest.org/blog/energy-world/obbba-creates-a-cohesive-framework-for-us-hydrogen-growth